Results for
How do you teach subjects like Programming and Numerical Computing hands-on in these challenging times?
Prof Chiranjoy Chattopadhyay at the Dept of Computer Science and Engineering at IIT Jodhpur shares his innovative approach to teaching at a distance in this new Technical Article on Teaching Parallel Computing Online with MATLAB.
The course utilized MATLAB Online , MATLAB Onramp and MATLAB Grader to train students in the basics of technical computing, in addition to using a Hands-on Online GPU workshop organised with the MathWorks Education Team. As a result of this approach to distance teaching, the students have reported good levels of understanding in the main learning outcomes of this course, as indicated in the survey results (below):

Please consider trying out the links above to check if your course might benefit from a similar approach, and feel free to message us if you are interested in learning more.
I just highlighted an app on File Exchange for emulating an experiment. Great idea for doing lab classes with software. What I like about this app is that it incorporates statistical variance and measurement noise that comes from physical experiments.
Read more about it here:
https://blogs.mathworks.com/pick/2020/11/20/emulating-a-physical-experiment-of-measuring-mms/

Hi everyone, I'm trying to estimate the Frequency Response of a buck converter. I've found this article: https://it.mathworks.com/company/newsletters/articles/estimating-the-frequency-response-of-a-power-electronics-model.html I've adapted the procedure to a buck converter and followed the instructions but something went wrong. In the last step I've performed a time-domain verification in a Simulink® simulation with the switch-mode buck converter and a Transfer Function block implementing the parametric estimation and compare the response of both systems to the same small perturbation signal but the estimated model response doesn't match the switching model response. I don't know why I've got a diverging systems. I've tried to reduce the load and modify the duty cycle but nothing changed. How can I fix it?
In the link below (File Exchange), you'll find an example with an electric motor supplied by a fuel cell stack (Simscape implementation) and a battery. When motor load is low-to-normal, the fuel cell provides excess energy, that is used to recharge the battery. At motor peak load, the battery needs to contribute in order to complete the expected duty. If you have any query or thoughts, please reach me at jsagardu@mathworks.com
https://www.mathworks.com/matlabcentral/fileexchange/59343-fuel-cell-battery-driven-electric-motor-h2-transfer
I would like to plot 2 discrete vectors on one graph created as follows: u=1; X={u,2*u,3*u,4*u,5*u,6*u,7*u,8*u,9*u}; Y={u,3*u,5*u,-u,-6*u,u-u,u^2,u^3,u^4}; stem(X,Y) unfortunately system returns error how to do it properly?
Here's a short article describing how educators from UNSW have used Live Scripts to help students understand mathematical models. Interactive live scripts allow students to experiment and understand concepts through trial and error. The article also explains how the scripts helped provide an enriched online learning experience for the students.
Do you use Live Scripts in your teaching?
Hi All,
Using the PMLSM SimScape block for my FOC PMLSM model - PMLSM
In the example ee_pmlsm_drive.slx which i have based my FOC architedure on, have a few questions please.
There is a gain block after the outer loop velocity controller (iq_Ref), which is the inverse of the Force constant (Kt) shown as (2/3*Np*PM) in the literature. This is also used in the PMSM FOC model, placed after the torque limiter Tq to iq_Ref. Why is this inverse Kt gain added to the idq_ref signal? Does this cancel Kt if its used in the Force Equation?
Previous help posts regarding the Force Constant (Kt), imply emitting the constant (3/2) in Kt. Also in the PMLSM help center document states Ke, Kt and Flux linkage are equal. Does this simplification apply to the translational machine counterpart SimScape block?
I have tried to look into the SimScape block code of the PMLSM to confirm, how do i look under the mask to check the Force equation for the PMLSM to confirm Kt and Ke used in this model?
Any help would be great as this is holding up Validation of my "small signal" linear PMLSM model against the SimScape PMLSM block model.
Thanks
Patrick
I'm a student. Please send me a simulation of a residential microgrid. I need this simulation for my university thesis. My thesis is about economically efficient operation of a residential microgrid using the mopso algorithm.
I often code snippets to students in the question description. I would like the students to be able to copy and paste these from the description into their solution, obviously all on the same web page. I thought this was the case before, but now Ctrl+C/V do not work and when I right click there is no copy/paste options. Is this not possible?
We are excited to announce that Cody Contest 2020 starts today! Again, the rule is simple - solve any problem and rate its difficulty. If you have any question, please visit our FAQs page first. Want to know your ranking? Check out the contest leaderboard .
Happy problem-solving! We hope you are a winner.
One great thing about IoT projects is they are connected to the internet, and that creates an opportunity to collaborate at a distance. Here are resources to help you teach classes that involve remote learning.

- Record and visualize your experiment's data in ThingSpeak channels. For example, this public soil monitor channel shows measurements from a sensor connected to a plant. You can see the ThingSpeak example pages for help getting your experiment connected.

- If you don’t have your own equipment see one of our 1,000,000 existing channels. Check out over 200,000 public channels at ThingSpeak.com.
- Use the fitvirus program to fit COVID-19 data. You can download the fitvirus code on File Exchange. You can get your own data or download statistics from a public ThingSpeak channel with COVID-19 data. For other COVID-19 related resources see COVID-19 Research and Development with MATLAB and Simulink

Figure 1: Fitvirus sample results.
When you can’t make it into the lab, use ThingSpeak to monitor and control your lab equipment for experiments and for teaching.
- When you use ThingSpeak channel values to control your hardware modes, students can run experiments from home, and even collaborate with others to control devices and collect data for analysis.

Figure 2: Sample ThingSpeak lab model.
- Build a simulation model to deploy on hardware and control it remotely. Watch this video to see how you can do both simulation and deployment in the same Simulink model. You can also download the models used in the video.
- Use ThingSpeak to analyze your data. Use the provided code templates (like this one for removing outliers from wind speed data) or custom MATLAB code to filter and analyze your data and schedule it to run at regular intervals.
regularFlag = isregular(data,'Time')
- Use ThingSpeak to Visualize your data. Consider a geographic plot to show location data with your measurements, or build your customized channel view.

Hi All,
Looking for guidance on how to represent a PMSM 3-Phase Converter (DC bus to AC) as a simply 1st Order Transfer Function in my Simulink model.
Researching this, have found we can show the Power Converter as a simple gain and time delay such as G_inv(s) = K_Inv/(1 + T_inv s)
The gain requires V_cm, which is the control voltage, is this control voltage the "Forward Voltage, Vf" in Switching Devices tab in the block?
Is my assumption for the tf for the converter correct?
Thanks
Patrick
I get students to create some figures in MATLAB Grader. Is there anyway the students can save the figure on their computer? I have tried savefig and that doesn't seem to do anything.
Below are some FAQs for the Cody contest 2020. If you have any additional questions, ask your questions by replying to this post. We will keep updating the FAQs.
Q1: If I rate a problem I solved before the contest, will I still get a raffle ticket?
A: Yes. You can rate any problem you have solved, whether it was before or during the contest period.
Q2: When will I receive the contest badges that I've earned?
A: All badges will be awarded after the contest ends.
Q3: How do I know if I’m the raffle winner?
A: If you are a winner, we will contact you to get your name and mailing address. You can find the list of winners on the Cody contest page .
Q4: When will I receive my T-shirt or hat?
A: You will typically receive your prize within a few weeks. It might take longer for international shipping.
Q5: I'm new to Cody. If I have some questions about using Cody, how can I get help?
A: You can ask your question by replying this post. Other community users might help you and we will also monitor the threads. You might also find answers here .
Q6: What do I do if I have a question about a specific problem?
A: If the problem description is unclear, the test suite is broken, or similar concerns arise, post your question(s) as a comment on the specific problem page. If you are having a hard time solving a problem, you can post a comment to your solution attempt (after submitting it). However, do not ask other people to solve problems for you.
Q7: If I find a bug or notice someone is cheating/spamming during the contest, how can I report it?
A: Use Web Site Feedback . Select "MATLAB Central" from the category list.
Q8: Why can't I rate a problem?
A: To rate a problem, you must solve that problem first and have at least 50 total points.
Dear power electronics control community,
Since I have not solved the problem and have not found an answer to why I receive such an output, I would be happy when you could help me out. The actual project is much more extensive but easy schematic of what I want to do is here:
For that, I am using 2-level PWM generator: https://se.mathworks.com/help/physmod/sps/powersys/ref/pwmgenerator2level.html In the DC-link (DC voltage after the converter) the DC voltage output should be more-less constant (with a little noise) but right now it very far away from the desired output:

Does anyone have a idea what might cause this problem?
Take a look at this video on remote access robotics lab. It allows students to submit algorithms and have them run on a robot completely remotely.
Here (16:56) is where the submission process is explained.
Professor Christophe Demaziere from Chalmers University of Technology, Sweden created a short course on nuclear reactor modeling.
- The course followed a flipped and hybrid approach last year but will most likely be taught entirely online in future due to Covid-19 pandemic.
- MATLAB Grader greatly facilitates the Online nature of Christophe's courses.
- Student Feedback was also very positive saying that they learned better compared to the traditional approach.
I'm trying to list out some videos, courses, and other links to learn more about Machine and Deep Learning. Here are some links to getting started with AI/Machine Learning/Deep Learning with MATLAB:
Artificial Intelligence:
Machine Learning:
Data Analytics:
Neural Networks and Deep Learning:
If any of you are using other resources from the MathWorks website or elsewhere, please consider adding it below as a comment.
Thanks!
Hello,
I am a student. I am currently looking into graph neural networks (GNNs). My domain is electrical power systems. In electrical power systems, it is extremely important that we get an accurate desired output numerical value of electrical data from a neural network.
1) I have a basic question. Consider an electrical grid network of nodes. I am trying to learn this electrical grid network data using Graph Neural Network (GNN). Every node of a GNN accumulates data from neighboring nodes, then processes it by a few steps of an algorithm, and passes it to the next layer. Finally, data is passed through a non-linearity and then to the output layer of the GNN.
But, if I feed electrical data to the above process, the original value of data at every node gets manipulated by several processing operations, and especially after passing the manipulated data through a non-linearity at the final stage, the output is obtained only in the form of 1's and 0s. Hence, the original electrical data value at every node is totally lost. On the contrary, I am expecting an output of an "accurate" value of electrical data similar to original value electrical data at every node of the network.
How to address the above problem? Please explain systematically if possible. This is a genuine basic question.
2) Also, does anyone have a clue, why Graph Neural Networks (GNNs) have not been introduced yet as a toolbox or in general in Matlab?
Help and opinion on above questions would be greatly appreciated.
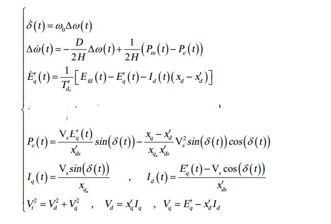
Hi Everyone, I am trying to simulate the third-order model of the synchronous generator (figure below). but I have no idea how to do this. Any help would be great.