Robust Control Toolbox

 

Robust Control Toolbox

Design robust controllers for uncertain plants

Bode plot showing sampled responses of the system along with the nominal response.

Modeling Plant Uncertainty

Build detailed uncertain models by combining nominal dynamics with uncertain elements, such as uncertain parameters or neglected dynamics. Represent uncertain systems using uncertain state-space and frequency response models.

Thumbnail for video on disk margin for MIMO systems.

Stability Analysis Using Disk Margins

Quantify how uncertainty affects the stability and performance of your control system using disk-based gain and phase margins of SISO and MIMO feedback loops.

Plot showing worst-case frequency response of an uncertain system.

Robustness and Worst-Case Analysis

Calculate the upper and lower bounds on worst-case performance without random sampling. You can also calculate robustness margins that tell you how much variation in uncertain parameters the system can tolerate while maintaining stability or desired performance.

Plot showing Nyquist diagram of sampled uncertain models.

Monte Carlo Analysis

Generate random samples of uncertain systems within the specified uncertainty range. Visualize how uncertainty affects the system time and frequency responses. 

H-Infinity and Mu Synthesis

Synthesize robust MIMO controllers using algorithms such as H-infinity and mu synthesis. Optimize H-infinity performance of fixed control structures. Automate loop-shaping tasks using the mixed-sensitivity or Glover-McFarlane approaches.

Documentation (H-infinity, mu synthesis) | Examples (H-infinity, mu synthesis)

Control System Tuner app showing performance specifications and tuned system response for a plant with varying parameters.

Robust Controller Tuning

Automatically tune control systems to meet reference tracking, disturbance rejection, stability margins, and other high-level design requirements by leveraging the Control System Tuner app or the systune command. Ensure robust performance by meeting these requirements even in the presence of plant parameter variation or uncertainty.

Simulink model consisting of an uncertain plant in feedback with a sensor where the uncertainty is modeled using the Uncertain State Space block.

Robust Control Design in Simulink

Represent uncertain elements in a Simulink model and linearize the model to analyze effects of uncertainty on the overall system. Perform automatic controller tuning of the uncertain system modeled in Simulink.

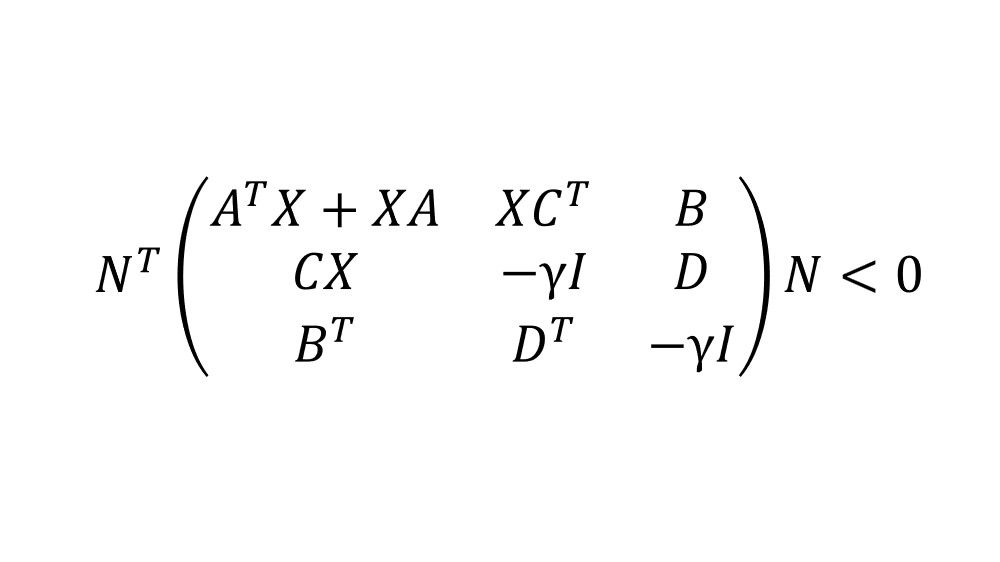
Linear matrix inequality in the form of NTL(X,γ)N<0, where N is the outer factor and L is the inner factor represented by a 3x3 symmetric block matrix.

Linear Matrix Inequalities

Specify and solve general linear matrix inequality (LMI) problems. Robust Control Toolbox provides LMI solvers for feasibility, cost minimization, and generalized eigenvalue minimization.

Figure contains 3 axes objects which represent driving inputs.

Reference Applications

Use reference examples for aerospace, power electronics, and automotive applications to synthesize and tune fixed-structure controllers modeled in MATLAB and Simulink for plant models with uncertainty.

Interested in Robust Control Toolbox?


Ready to Buy?

Get pricing information and explore related products.

Are You a Student?

Your school may already provide access to MATLAB, Simulink, and add-on products through a campus-wide license.