Products and Services

Quantum Computing with MATLAB

Build, simulate, and run quantum algorithms

MATLAB Support Package for Quantum Computing lets you build, simulate, and run quantum algorithms. The support package enables you to prototype algorithms to accelerate solving problems such as optimization and artificial intelligence (AI) and machine learning tasks, as well as currently unsolvable problems in chemistry and material simulations.

With MATLAB Support Package for Quantum Computing, you can:

  • Build circuits to implement quantum algorithms using a variety of built-in and customizable composite gates
  • Verify implementation of algorithms using simulations in your local computer or connect to a remote simulator through cloud services
  • Execute quantum algorithms by connecting to quantum computing hardware through cloud services
  • Visualize circuits to verify implementations of the algorithms and individual qubits, as well as analyze and plot results
  • Create and solve quadratic unconstrained binary optimization (QUBO) problems on your local computer
Illustration of desktop machine using quantum computing with MATLAB.

Product Highlights

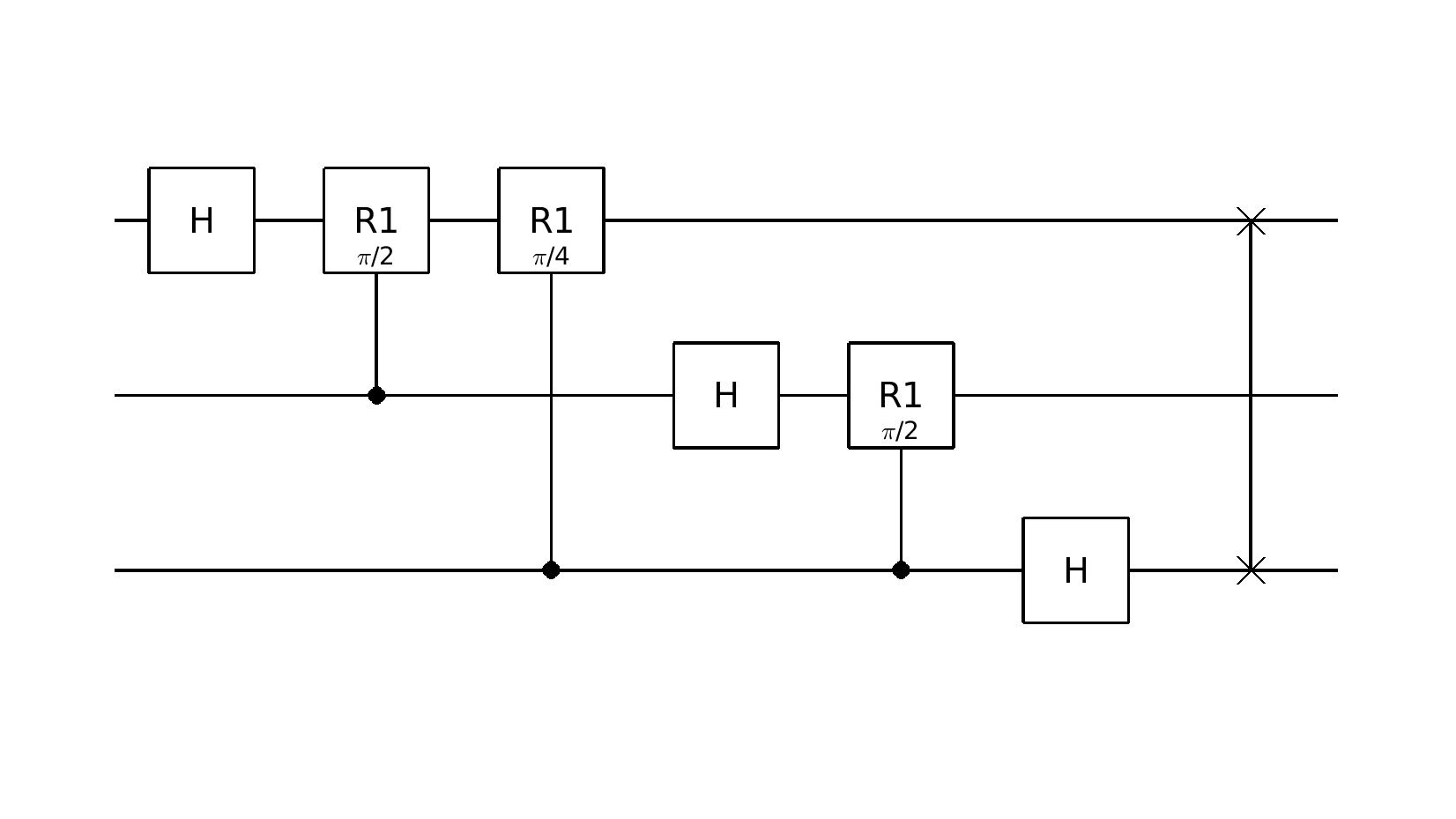
Plotting quantum Fourier transform circuit.

Build Quantum Circuits

Build quantum circuits using a sequence of quantum gates operating on one or more qubits. Use built-in, simple gates and create composite gates to capture complex operations and organize circuits.

Verifying quantum algorithm implementations by simulating on a local computer.

Simulate Quantum Algorithms Locally

Verify quantum algorithms to confirm their behavior and expected outcomes by simulating the algorithms on your local computer. Inspect results by displaying the quantum state formula, plotting a histogram, or querying possible states.

Connecting to quantum computers through the cloud to execute algorithms.

Execute Algorithms on Quantum Computers

Connect to quantum computers through cloud services and run the quantum algorithms. Use quantum simulators supplied by quantum hardware providers to validate complex quantum circuits before running them on QPU devices.

Quantum Computing Applications

Leverage quantum computers to solve problems in optimization, machine learning, chemistry, and material simulations.​