PMLSM Torque Constant from Test Data


Hi All,

Quick question regarding deriving PM flux linkage [Wb] from a torque constant estimated from data on a PMLSM.

I have an estimated torque constant Kt [N/A], which is from experimental test data. I will now parameterising my Simscape PMLSM block from this torque constant.

The literature seems confusing, to derive PM flux linkage [Wb] from the experimental torque contant do i include the (3/2) constant. Some examples include the constant and some omit, which one of the following is preferred for deriving the PM flux linkage?

Thanks

Patrick

Ananth kumar
Ananth kumar on 15 Mar 2021

For abc->dq transformation, If you use power-invariant transformation (park-orthonormal transformation) for calculating Vd, Vq, Id, Iq from Vabc, Iabc, torque equation not involve 3/2 factor. In such case, Kt and permanent flux linkage conversion not includes 3/2 multiplication factor.

For abc->dq transformation, If amplitude invariant transformation (abc->dq) is used, torque equation include a multiplication factor 3/2. Refer this documentation page for more details, https://www.mathworks.com/help/mcb/ref/surfacemountpmsm.html

PB75
PB75 on 15 Mar 2021

Hi Ananth,

OK, interesting, so using the 3/2 coefficient in Kt to derive flux linkage is solely based on what abc to dq0 is used in the model?

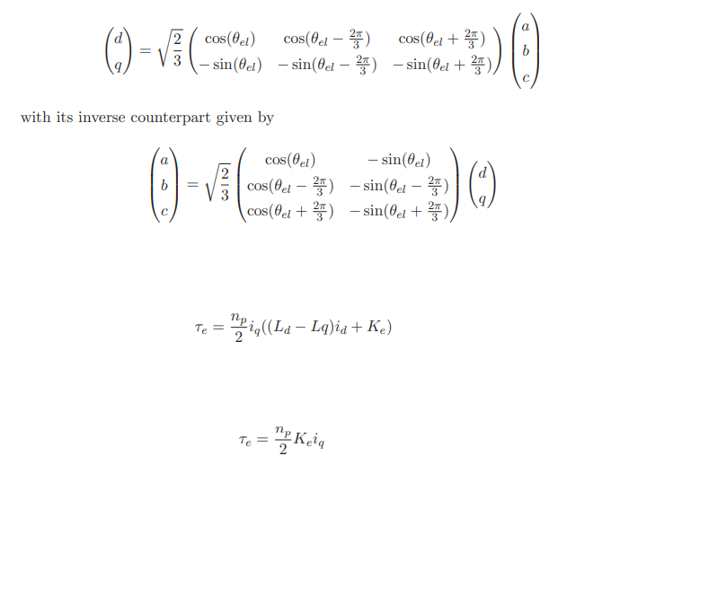
I use the standard amplitude invariant transformation (dq0), as below.

To confirm I use Kt = (3/2)*Np*PM to derive PM flux linkage?

Thanks again.

Ananth kumar
Ananth kumar on 15 Mar 2021

I made some quick browsing to find the equations of power invariant transformations. Please do check the below equations. I guess this will help you.