Technical Articles

Validating PMSM Parameter Identification Algorithms with a High-Fidelity Physical Model

By Elia Brescia and Giuseppe Leonardo Cascella, Politecnico di Bari


Simulated values of the parameters depend on the trends of the stator and rotor temperatures and of the motor current, demonstrating how temperature and magnetic saturation effects are effectively simulated by the Simscape model.

Engineers working with systems that include permanent magnet synchronous machines (PMSMs) need to know the values of key PMSM parameters for several reasons. Most control strategies need accurate values for motor parameters to ensure stable performance and optimal efficiency. In addition, developing reliable digital twins of electric motors to observe parameter values as they change over time enables engineers to evaluate the motor’s state of health to support predictive maintenance, fault diagnosis, condition monitoring, and other similar activities. However, it is challenging to directly monitor key parameters, such as stator inductance, rotor flux linkage, and stator resistance during normal operations of a commercial drive, since this monitoring typically requires downtime to conduct offline tests or the addition of costly sensors and instrumentation.

To obtain accurate estimates of hard-to-measure PMSM parameters based on values that are more readily available—such as rotor speed, voltage, and current measurements—engineers and researchers continue to develop a wide variety of parameter identification algorithms. However, quickly validating these algorithms can be difficult. Our research group at Politecnico di Bari has encountered this problem as we develop novel PMSM parameter identification algorithms and methods. Testing on a real drive is slow and cumbersome, as is using finite element analysis software to model the motor, its geometry, and the materials used to construct it.

Recently, our team has accelerated the development and validation of PMSM parameter identification algorithms using a physical model that we developed in Simulink® and Simscape™. Simscape enables us to integrate the thermal, mechanical, and electromagnetic aspects of the motor into a single high-fidelity multidomain model that produces accurate simulation results without lengthy computation times. Via simulation, we can see how those parameter values that are difficult or impossible to measure in a real commercial drive are changing and how well our algorithm estimates track those values.

Creating the Multidomain PMSM Model with Simscape

We based our Simscape model on the three-phase PMSM drive with thermal model example provided by MathWorks. This model includes several components from Simscape Electrical™, including PMSM, PMSM Field-Oriented Control, and Battery blocks, as well as an IGBT (insulated gate bipolar transistor) block that serves as the three-phase inverter (Figure 1). It also includes a thermal model that is used to simulate temperature dynamics within the motor, including thermal exchange between the motor and the ambient environment.

A customized example diagram of the three-phase PMSM drive with a thermal Simscape model, including PMSM, PMSM Field-Oriented Control, Battery, and IGBT blocks.

Figure 1. Customized version of the three-phase PMSM drive with thermal model example.

We customized this base model to support validation of our parameter estimation algorithms. Specifically, we added a load block, which is used to apply a resistant torque to the mechanical shaft of the motor and included additional voltage sensors to the model’s existing sensor block.

Lastly, we configured the properties of the PMSM block. We defined the flux and stator resistance as functions of the rotor and stator temperature (Figure 2) to reflect two well-known effects in PMSM systems: As the temperature rises, electrical resistance of the conductors inside the stator increases while rotor flux linkage decreases. These effects are important, because both lead to the increase of losses, and therefore a reduction of the efficiency of the motor and its ability to produce torque. We also set up the inductances as functions of the PMSM currents, which capture magnetic saturation of the iron, another well-known effect.

Two side-by-side screenshots of settings for the PMSM block properties.

Figure 2. Configuring PMSM block properties.

Simulation, Parameter Estimation, and Validation

Once we had customized and configured our PMSM model, we began using it to run simulations in Simulink to test parameter estimation algorithms. In these simulations, the model’s voltage, current, and rotor speed signals, which are readily available in a commercial motor, are used as inputs to the parameter estimation algorithm we are evaluating (Figure 3). For example, we recently used this setup to validate a parameter estimation approach based on Adaline neural networks that we implemented in MATLAB®. We then compare the algorithm’s output—estimated stator resistance, rotor flux, and stator inductance—with those same values from the Simscape model.

A workflow diagram showing how the modified Simscape PMSM model is used to test parameter estimation algorithms for stator resistance, rotor flux, and stator inductance.

Figure 3. Parameter estimation using voltage, current, and rotor speed signals from the model.

It can take an hour or more for the temperature in a real PMSM to increase to a point where its effects on flux and resistance are noticeable, so we decided to shorten simulation times for testing a wide range of flux and resistance values by making minor adjustments to the model. Specifically, we decreased the iron losses in the motor and decreased the thermal mass of the rotor and stator. These changes did not affect the fidelity of the model or our ability to assess parameter estimation algorithms, but they did cut the required simulation time from hours to seconds.

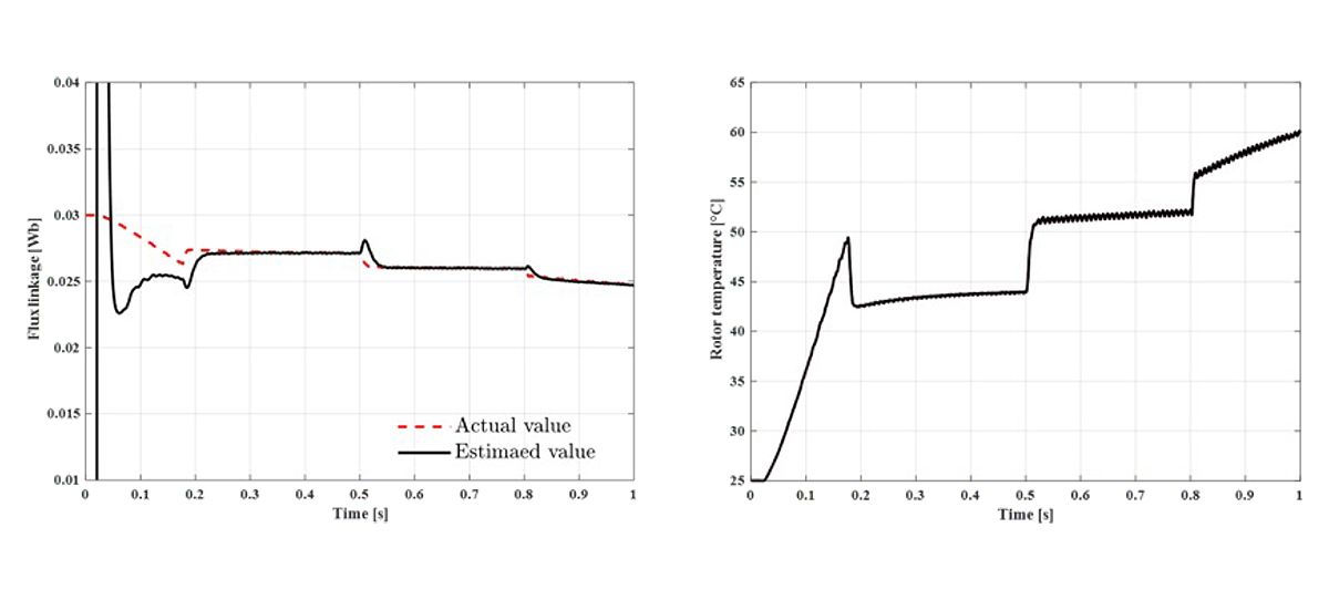
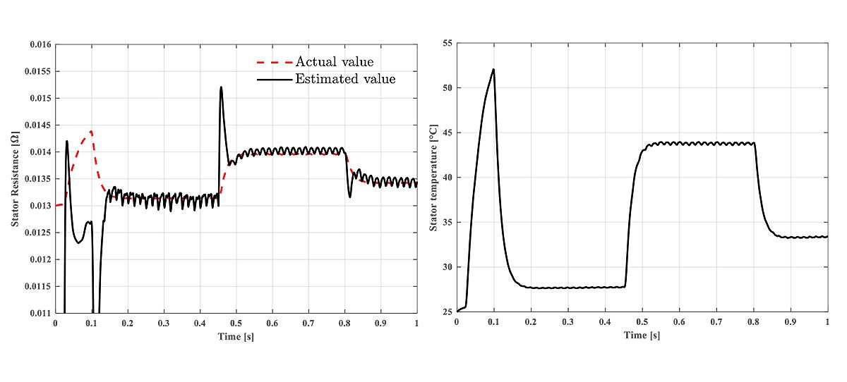
After running simulations, we use MATLAB to generate plots that showed how closely our algorithm’s parameter estimates tracked the simulated values for flux linkage (Figure 4), stator resistance (Figure 5), and stator inductance (Figure 6). After an initial period in which the motor is in a transient state before reaching its steady-state speed, the plots reveal a close match between estimated and simulated values (labeled as “actual” in the figures). It is also worth noticing how the simulated values of the parameters depend on the trends of the stator and rotor temperatures and of the motor current, which are shown on the right in Figures 4, 5, and 6. This demonstrates how temperature and magnetic saturation effects of the motor are effectively simulated by the Simscape model.

Two side-by-side plots. The plot on the left shows actual and simulated values for flux linkage over time in black and red respectively, and the plot on the right shows the corresponding rotor temperature over time.

Figure 4. Estimated (black) and simulated (red) values for flux linkage over time (left) with corresponding plot of rotor temperature (right).

Two side-by-side plots. The plot on the left shows actual and simulated values for stator resistance over time in black and red respectively, and the plot on the right shows the corresponding stator temperature over time.

Figure 5. Estimated (black) and simulated (red) values for stator resistance over time (left) with corresponding plot of stator temperature (right). The estimated resistance transient at 0.45 seconds is due to the application of a load on the motor.

 Two side-by-side plots. The plot on the left shows actual and simulated values for stator inductance over time in black and red respectively, and the plot on the right shows the corresponding q-axis current over time.

Figure 6. Estimated (black) and simulated (red) values for stator inductance over time (left) with corresponding plot of q-axis current (right). The inductance transient and increase in current at 0.45 seconds is due to the application of a load on the motor.

Into the Classroom and Into the Lab

At Politecnico di Bari, we use Simulink and Simscape in the classroom as well as in our research. For example, students taking a graduate-level course on electric drives in the electrical and automation engineering program complete exercises using custom models we have developed with MATLAB and Simulink, and more recently, with Simscape. During lectures, we also work through an analysis of motor efficiency using a Simscape model that is similar to the model that we use to validate parameter estimation algorithms.

Currently, my group is working with a Simscape model that will serve as the digital twin of a real electric drive in our lab consisting of an inverter, motor, controller, and other components. We are using the digital twin to validate error analysis by obtaining predictions of estimation errors first via simulation before proceeding with experimental tests on the actual hardware (Figure 7). Use of the model is significantly accelerating this effort because performing the preliminary analysis in simulation is much faster than completing the entire study on the real drive.

Figure 7. Testbench with two coupled PMSM drives in the electrical machines and drives laboratory at Politecnico di Bari.

About the Author

Elia Brescia is a postdoctoral researcher in power converters, electrical machines, and drives at Politecnico di Bari. His research is focused on design, control, and nonintrusive parameter identification techniques of permanent magnet synchronous motors. He has authored over 15 scientific journal articles and conference papers on these topics.

Giuseppe Leonardo Cascella is an assistant researcher in power converters, electrical machines, and drives at Politecnico di Bari. His research interests include Industry 4.0, artificial intelligence, electrical machines and drives, and optimization algorithms. In addition to authoring over 70 scientific journal articles and conference papers on these topics, he serves as the coordinator of more than 30 R&D industrial projects. Cascella is also the founder and CEO of Idea75, a company that offers Industry 4.0 solutions for energy efficiency, building automation, and monitoring and control of civil and industrial facilities.

Published 2024

View Articles for Related Capabilities

View Articles for Related Industries