MATLAB and Simulink Seminars

Practical Tools for Model Calibration with SimBiology®

Overview

This event has been cancelled

Mathematical modeling such as (PB)PK/PD and QSP is becoming increasingly important to inform decision making in various stages of the drug development process. These models often take the form of ordinary differential equations and include numerous parameters that need to be estimated with experimental data. The process of model calibration presents many challenges such as the difficulty to assess parameter identifiability, scarcity of high-quality experimental data, and highly nonlinear objective functions with multiple local optima.

In this workshop, we will cover a workflow for model calibration in SimBiology®, which encompasses methods for parameter selection, data fitting, and parameter identifiability analysis. These techniques, when used in sequence, establish a comprehensive approach for effective model calibration.

We will provide a theoretical background for each of these steps and offer step-by-step hands-on exercises to build up a full model calibration workflow derived from a real-world example.

Highlights

  • Review methods for parameter selection including feature ranking and global sensitivity analysis (GSA) with SimBiology and leverage the results to select a subset of model parameters for estimation.
  • Learn the difference between local and global optimization methods and the reasons why global solvers are often preferred for fitting data.
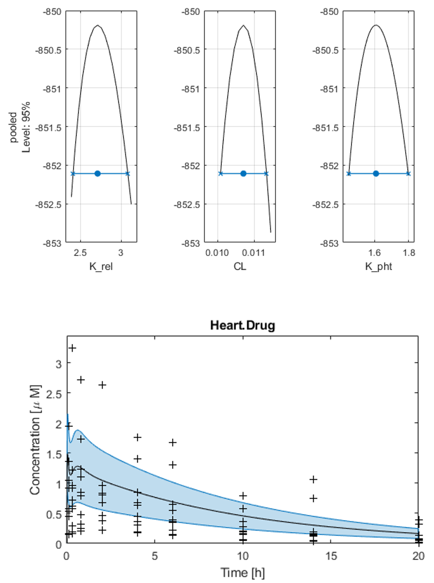
  • Use the Profile likelihood method to detect parameter non-identifiability.

This workshop is free of charge for all attendees.

Who Should Attend

To maximize your experience in this workshop, we recommend having some prior experience with SimBiology. A basic knowledge will help you engage more fully with the material presented.

About the Presenter

Marco Avila Ponce de León received a BS degree in Mathematics from the National University of Mexico and an MS and PhD degrees in Mathematics from the University of Minnesota. Prior to his current position as a senior application engineer at MathWorks for Quantitative Systems Pharmacology, he has held positions within academia, and the pharmaceutical industry, working on developing mathematical models of biological systems. His current research interests lie in developing mathematical models and computational techniques to answer questions in support of drug development. In his current role at MathWorks, he helps pharmaceutical companies use SimBiology optimally to perform their modeling projects.

Agenda

Duration Title

10 minutes

Welcome and Introduction

50 minutes

Methods for parameter selection

  • Feature ranking
  • Global sensitivity analysis

2 hours

Parameter estimation

  • Difference between local and global methods
  • Description of global algorithms and exercises

1 hour

Practical identifiability and prediction confidence intervals

  • Profile likelihood method

Product Focus

Practical Tools for Model Calibration with SimBiology®

Registration closed

View upcoming live events